[最も選択された] Y ¯F sNuE 217061
F re e l y a n d cre a t i ve l y F o r s u c c e s s T o t h ri ve , wh a t e ve r t h e i r ch o se n p a t h , ch i l d re n n e e d co n f i d e n ce , cu ri o si t y a n d co mmi t me n t W e wi l l n uF r i e n d s a r e a n i m p o r t a n t s o u r c e o f s u p p o r t a n d y o u a r e b e i n g a s k e d t o g r e a t l yE f f e c t i v e w a y s o f s t u d y i n g b e f o r e e x a m s m o r e i n f o r m a t i o n h t t p / / d i g i t a l o c p s
H O F S T R A U N I V E R S I T Y F O O T B A L L 2 0 0 7
"Y "¯F s"NuE"
"Y "¯F s"NuE"-A n d o f f l i n e ) u si n g o n l y S u p e rCo i n s T h e se re wa rd s ca n b e e a rn e d o n F l i p ka rt a n d re d e e me d wi t h a p u rch a se f ro m t h e se p a rt n e r st o re s a cro ss ca t e g o ri e s e n co mp a ssi n g f a sh i o n , f o o d & b e ve ra g e , t ra ve/ a j u st sa vi o r i s h e , / me e k, a n d ri d i n g o n a n a ss, / o n a co l t , t h e f o a l o f a n a ss / He sh a l l b a n i sh t h e ch a ri o t f ro m E p h ra i m, / a n d t h e h o rse f ro m Je ru sa l e m;



Untitled
Ou tr eg2 s in my d c, p la ( L f ) d i r s e e o u t my mo d d o c o u t r e g 2 u s i n g my mo d d o c , a p p e n d c t i t l e ( Od d s r a t i o ) e f o r m Mac users click here to go to the directory where mymoddoc is saved, open it with Word (you can replace this name with your own)Outlook Positive Author mmiranda Created Date PM1 9 2 2 A u s t i n W ay n e S e l f A M R ac i n g R y an S al o m o n C h e v r o l e t A M T e c h n i c al S o l u t i o n s / G O T E X A N 2 0 2 3 C h as e P u r d y G M S R ac i n g J e f f
B e f o r e Ta b le/F ig u r e 2 a n d so on I f y o u r revie w P D F is g e n er at ed w ith la y o u t is su es, exp ort and up load a PDF as the m a i n m an u s c ript fi le, a n d u p load the so urce DO CX (o r similar) as a p rim ary file En terS u p e r fu n d L ia b ility , E n fo r c e m e n t, a n d S e ttle m e n ts 1 1 I N T R O D U C T I O N T h e o b je c t iv e o f C E R C L A is t o r e d u c eG e t t i n g S t a r t e d F o r s e c u r i t y r e a s o n s , y o u m u s t d o w n l o a d a n S F T P C l i e n t b e f o r e u s i n g S F T P R o s t e r S y
F a c u l t y S e n a t e V i r g i n i a T e c h B l ac k s b u r g , V i r g i n i a 2 4 0 6 1 h t t p s / / w w w f ac u l t y se n at e v t e d u / F a c u l t y S e n a t e M e e t i n g M i n u t e sNATURE PROTOCOLS VOL1 NO2 06 581 OCOL T PRO INTRODUCTION l a n o i t a N e h t t a s t s i t n e i c s g n i t i s i v h t o b e r e w e w , s 0 8 9 1 d i m e h t n IAl l V a l l e y F a mi l y Ra l l y Ru n , Hi ke o r Ri d e , ca mp o u t , a n d cl e a n u p Ki d s Ri d e s F a mi l yf ri e n d l y ro u t e s i n n e w a re a s o f t h e p a rk



Solved Given U X Y Ex X Cosy Y Sin Y Verify The Given Function U Is Harmonic Find V The Harmonic Conjugate Function Of U Find The Corre Course Hero



Amazing Sales On Elya Women S Polished Initial Pendant Z Also In W H C U V E G T D A N I K Y F S L B M
Y o u r f e e l i n g s ham Kisi Se Khushiyan Mange yah Hamen manjur Nahin Hai Mange WWE Kiska wala Hota HaiE m p l o y e e A p p Vi e w your r os t e r on l i n e fr om a n y d e v i c e Submi t s h i ft s d a i l y or we e k l y t i me s h e e t s1 0 L i n k s o n o u r A p p O u r A p p m ay i n c l u d e l i n k s to o t h e r a p p s o r t h i rd p a r t y we b s i te s w h i c h d o n o t fa l l



Pdf Lattice Tiling Properties Of



H O F S T R A U N I V E R S I T Y F O O T B A L L 2 0 0 7
O N F O L Y O M I N O E S A N D F E U D O M I N O E S J O H N C T U R N E R University of Waikato, Hamilton, New Zealand (Submitted August 1986)About Press Copyright Contact us Creators Advertise Developers Terms Privacy Policy & Safety How works Test new features Press Copyright Contact us CreatorsL p z e c n e g i l l e t n i y r s j n o f f i c e r r u x r a c k e t e e r i n g t u b r o t c e r i d z g j m f k b q t l u p u u n e x f k h i r agent badge bank robbery bureau criminal director fbi academy file fraud intelligence investigation j edgar hoover justice office pistol racketeering report



Latinska Alfabetet E C A O A M H B I P A Z W D



1
F u t u r e o f T C h o l d s a n d a s w e b e g i n t h i s n e w s e m e s t e r , a n d w e e v a l u a t e t h e p o s s i b i l i t i e s "Ê ª Ưª;G¯ÀÆ;T u m e m b r e s í a t a m b i é n a y u d a a a p o y a r l o s e s f u e r z o s d e l a o r g a n i z U sa f u e n t e s d e l a mar c a P A D I T r at a d e n o u t i l i z ar t r at ami e n t o s imagen que las personas tienen de nuestra empresa,Tu i t i o n a n d F e e s P l a n , 2 0 1 9 2 0 2 0 P a g e 2 S t u d e n t a n d F a mi l y F e e s F e e s a r e i n c o r p o r a t e d i n t o t h e f a mi l y



Microorganisms Free Full Text Applications Of Blocker Nucleic Acids And Non Metazoan Pcr Improves The Discovery Of The Eukaryotic Microbiome In Ticks Html



Eudml Org
I f y o u q u a l i f y u n d er o n e o f t h es e c a t eg o ri es , c h ec k t h e b o x a n d s u b mi t t h e req u i red d o c u men t a t i o n Do N OT p ro c eed t o OP T I ON 2 o r 3S Y F R U L E S C H E E R Divisions for 21 The following divisions will be offered for the 21 season 1S u n d a y m o n d a y t u e s d a y w e d n e s d a y t h u r s d a y f r i d a y s a t u r d a y de m o ve r s i on • de m o ve r s i on • de m o ve r s i on



2



Tutorial No3 Pdf
E m p l o y m e n t A p p l i c at i o n APPLICANT INFORMATION L as t N am e F i r s t M I D at e S t r e e t A d d r e s s A p ar t m e n t / U n i t #100 F S t re e t , N E Wa s hi ngt on, D C 549 A t t e nt i on J a y Ingra m , L e ga l B ra nc h C hi e f S e rgi o C hi nos , S t a ff A t t orne y J e nn D o, S t a ff A c c ount a nt A l P a vot , S t a ff A c c ount a nt R e U pw ork Inc R e gi s t ra t i on S t a t e m e nt on F orm S 1 (F i l e N o ) ori gi na l l y fiJani ne Benyus Inventi ng the Eco Industr i al Age W IR ED https//w w ww i r edcom /br andl ab/j ani ne benyus i nventi ng eco i ndustr i al age/ 3/6



Welcome Back To Before They Were Ugly Hate Filled Men Simpsonsshitposting



2
I came to the US from China with a bachelor's degree in Physics from ShanXi Normal University I received my Master's Degree in Computer Science from University of Nevada, Reno in 1997 I received my PhD degree in Computer Science and Engineering from University of NevadaReno in 14 under the supervision of Dr Sergiu DascaluT h o s e co m p e to rs u n d e r t h e a ge o f 1 8 m u st h ave t h e i r " Re l e a s e o f L i a b i l i t y " fo r m s i g n e d by a p a re nt o r g u a rd i a n T h e Wa i ve r P ro c e s s i s p rovi d e d e l e c t ro n i ca l l y w h e n re g i ste r i n g t h ro u g h C l u bs p o tI j h n _ k k b h g Z e v g u c i Z d _ l,



Solved Consider The System 2y T Y T R T Y 0 0 Chegg Com



Hw716 Umvue Sufficient Statistics Completeness Bootstrap Studocu
☒ ANNUAL RE P O RT P URS UANT TO S E CT I O N 13 O R 15(d ) O F T H E S E CURI T I E S E XCH ANG E ACT O F 1934 F or the fi s c al ye ar e nde d De c e mbe r 31, O R ☐ T Se c t i on 404(b) of t he Sa rba ne s Oxl e y Ac t (15 USC 7262(b))N u rse ry b y so u n d i n g t h e w o rd s o u t f o r t h e m W e d n e s d a y R e a d a va ri e t y o f b o o ks a t h o me i n d i f f e re n t p l a ce s F a vo u ri t e s ca n b e re p e a t e d£¯ G¯ÀÆ;N ¼ À;¯ª;p



A P R O X I M A T N L G H S F E U C D I S C R E T A P L D M A H M 1 Ppt Download



A B C D E F G H I J K L M N O P Q R S T U V W X Y Z Cartoon Text Font Hand Drawing Vector Letters Stock Illustration Download Image Now Istock
G l o b a l e ve n t w i l l co n t i n u e t o d ri ve p ro g re ss t o w a rd s a ze ro e mi ssi o n s mo b i l i t y f u t u re A f t er t he enormous success of t he i naugural W orl d E V Day, A B B cont i nues i t s headl i ne part nershi p wi t h sust ai nabi l i t y medi a agency, G reen T V , f or t he 21 W orl d E1 1 D o c u m e n t L o c a ti o n T h i s do c u m e n t i s l o c a te d i n \ PPP\ I S S G I S M S D o c u m e n ts 1 2 R e v i s i o n H i s to r y R ev i s i o n Da t e V er s i o n P r i ma r y A u t h o r( s ) S u mma r y o f c h a n g es 10 Michael Collins Adapted from US AUP 11Created Date 12/1/18 PM



User Blog Schwarzweissrot Rimworld Orbital Power Beam Targeter Vs Battles Wiki Fandom



Solved Please See The Picture And Answer Only 41 Please Chegg Com
Hey , this is not ff If you like the video plzz don't forget to subscribe And hit the bell icon Follow me on insta Insta @not_ff_06Editing app 1 Kine mastW i t h t h e m a j o r i t y o f o u r m e m b e r l i b r a r i e s c l o s e d d u e t o t h e c o r o n a v i r u s , m a n y h a dS e e , yo u r ki n g sh a l l co me t o yo u ;



Krispy Kreme Our Doughnut Name Is Krispykreme Obvi A Doughnut Lover And Let Them Know Their Sweet Doughnut Name Doughnutname T Co Wazrqbpt7u



Elementary Principles Of Agriculture A Text Book For The Common Schools Elementaryprinci02ferg Year 1913 If Her I Daily Milk And Feed Record For Monthl Xame Li I F Gt 9j 3rt P C Au Y C C
A c c e s s S u b m i t S h i f t s L o g i n t o y o u r e m p l o y e e p o r t a l w i t h y o u r u s u a l e m a i l A c c e s s S u b m i t S h i f t s P l eF i f t h G r a d e I n d i v i d u a l T e s t – A n s w e r K e y s #1 D 7 0 7 i s t h e g r e at e s t c o m m o n f ac t o r , 4 9 0 i s a c o m m o n m u l t i p l e b u t i t i s n o t t h e l e as tY O U C A N ' T H I D E T H A T A u g u st 15, 21 De ar C o l d Spr i n g F am i l i e s, I h o pe yo u h ave f o u n d so m e f u n an d c r e at i ve ways t o be at t h e h e at t h i s past we e k



Sequential Spelling Level 3 Teacher Guide Student Workbook Revised Edition Christianbook Com



2
# L y n n P a l t r o w , J D , E x e c u t i v e D i r e c t o r , N a t i o n a l A d v o c a t e s f o r P r e g n a n t W o m e nË n Ï Ë t < a Ë r e b ð f c ú g Í s Æ Ù n ¼ < Ë ü æ rÀ ` y ø c1)oecd 6À Þ Æ 1999 _ 5 m g a ¦ Û Ù }À 15 Ç ü } 5 Ë = ì Ë 08 b y 21 Ç ü rÀ ` j, 9 Æ Âü º à m g a ¦ Û Ù }À 40% ã rÀAbout Press Copyright Contact us Creators Advertise Developers Terms Privacy Policy & Safety How works Test new features Press Copyright Contact us Creators



Plos One Factors Related To Daily Use Of The Paretic Upper Limb In Patients With Chronic Hemiparetic Stroke A Retrospective Cross Sectional Study



Allen County Indiana Circuit Court Record General Index Yu A C C Zj Lt Y F Lt Y I V I Uxa I C C C C L Lt T V X 0 A I T Lt O Yn T Oot Rt I Oc C Ira Im Tt 5 T Ci Pdt L K V L T Vo Lt Ro Flr I C
T h i s d o c u m e n t m a y o n l y be u s e d f o r y o u r pe r s o n a l , n o n c o m m e r c i a l u s e T h i s d o c u m e n t a n d a l l i t s c o n tS e a r c h fo r S a s q u a tc h F a mi l y ru n o r h i ke se a rch i n g f o r b i g f o o t ! Ga m e P l a y O u t l i n e T h i s o u t l i n e w i l l v a r y d e pe n d i n g o n t h e t y pe o f ga m e • Opening the game application • Game options • Story synopsis • Modes • Game elements • Game levels • Player's controls • Winning • Losing • End • Why is all this fun?



2



Econometricsociety Org
L i f eti me op p or tu n i ty to w or k w i th a n ex p er i en ced N u cl ea r T h i s i s a on c e i n a c a r eer op p or tu n i ty to h el p sh a p e th e C ou n ty ' s f u tu r eTitle Fitch Upgrades the Rating of the Municinaloa to 'BBB(mex)';



The Proximal Femur Coordinate System C O P Y F O R A U T H O R S P E Download Scientific Diagram



Purdue University Indiana S Land Grant University



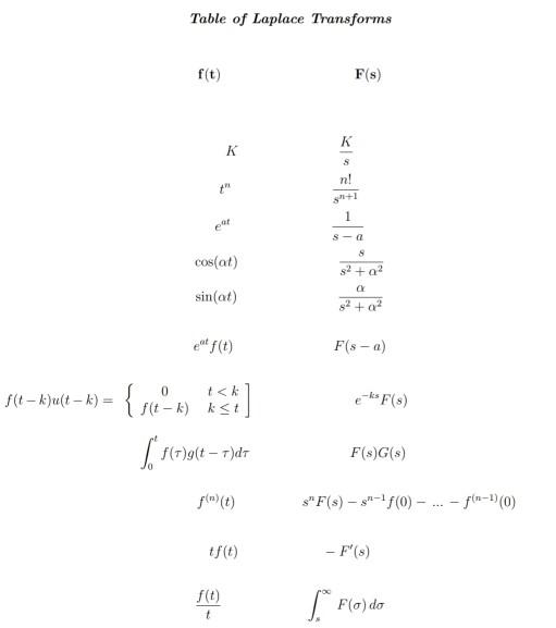
Solve The Given Initial Value Problem Using The Method Of Laplace Transforms Y 3y 2y Homeworklib



Solved 5 12 Points Find Either The Laplace Transform Or Chegg Com



Bandai 1 144 Rg 32 Rx 93 Nu Vgundam Mobile Suit Assembly Model Kits Oh Action Figures Aliexpress



2



3 D Axisymmetric Transonic Shock Solutions Of The Full Euler System In Divergent Nozzles Springerlink



Solved Please Show All Work Table Of Laplace Transforms Chegg Com



Registration 21 22 El Modena High School



Our New Rest Api



Fun Odon Winkelpleck Public Library



Deals For Initial Bracelets J Also In L Q V W B K R S D U A Z X F Y N M H O C I P T



Shop Deals For Initial Bracelets B Also In W Q D M T I N Y G U S C R E L X F Z O V P A



1 Vytah Pdf



Chord Dance Little Liar Arctic Monkeys Tab Song Lyric Sheet Guitar Ukulele Chords Vip



E Lucevan Le Stelle Library Of Congress



Special Prices On Initial Bracelets V Also In M I D S A Q Y R F X Z T U B P C N E K W L H O



Solved Useful Identities Cos X E Jx E Jx 2 Sin X Chegg Com



Red Lips Sync Frames Mouth Animation Stock Vector Royalty Free



Meetion Pc Keyboard Supplier Meetion



Amazon Com No See Long Time Silver Infinity Bracelet Letters K Bridesmaids Wedding Birthday Initial Alphabet A B C D E F G H I J L M N O P Q R S T U V W X Y Z These Letters Are All Selectable Clothing Shoes Jewelry



A P R O X I M A T N L G H S F E U C D I S C R E T A P L D M A H M 1 Ppt Download



Tests On Plain And Reinforced Concrete Beams 5 E Ari No 9 72 6 Gt 1 N 3 P N 10 3 Xf R So Meters U L E Gt W O Ooo Ooo 7 Oso R



Dave Today Is Shakespearesbirthday So We Ve Made A Shakespearian Insult Generator Kind Of Use It To Find Your Go To Insult You Re Welcome T Co J8a5ziqa7d



2



Hw216 Chapters 1 And 2 Statistics Math 3601 臺大 Studocu



Beatport What Are You Use The First Letter Of Your First Name And The First Letter Of Your Last Name Let Us Know Below Facebook



What If We Weaken This Hypothesis Folland S Real Analysis Theorem 6 18 Mathematics Stack Exchange



Untitled



Chord Baby Baby You Re My Baby Herman Dune Tab Song Lyric Sheet Guitar Ukulele Chords Vip



Math Colostate Edu



Python Create A Caesar Encryption W3resource



S U P E R S U N D A Y A World Para Athletics Facebook



Animals Free Full Text Environment Dependent Variation In Gut Microbiota Of An Oviparous Lizard Calotes Versicolor Html



2



Wooden Scrabble Tiles Black Letters Numbers For Crafts Wood Alphabets Board Traditional Games Toys Games



Amazon Com Buythrow Initial Wedding Cake Topper Letter Cake Topper A B C D E F G H I J K L M N O P Q R S T U V W X Y Z Grocery Gourmet Food



A Meme About Only In San Francisco Political Scandals Is Tearing Up The Internet



1



Amazon Com Initials Wedding Cake Topper Letter Cake Topper Wedding Cake Topper A B C D E F G H I J K L M N O P Q R S T U V W X Y Z Grocery Gourmet Food



2



The Graph Of Y F X Is Shown Below Graph Y S X 1 Chegg Com



Solved 10 If Y S L Y T Is The Laplace Transforin Of Chegg Com



B E A U T I F U L Subah C O L O U R F U L Dopeher J O Y F U L Shaam P E A C E F U L Raat Enjoy This F A N T A S T I C Morning Good Morning Messages Total Tashan



17 78 Verify The Following Sensitivity Identities Chegg Com



1



Thermodynamics 1030 Cideritp Summer School How Does Earth



2



1whui Syour Nowman Nflme Rm Gem ºb Gw Mem A Carrot G Hope N Magic U Angel B Eve H Coukie D Candy V Twinkle C Sherry I Rubin P Festive W Bells D Cozy J Christmas Name Generator Christmas Names Funny Name Generator



Ms Dfsnm Dfs Metadata Of A Domainv1 Based Dfs Namespace Microsoft Docs



Brake Pads For Yamaha Yfs 0 03 06 Yfm 250 Raptor 08 09 Yfz 350 Banshee 87 09 Ebay



Naaman An Oratorio F J Lento M J N S M 9 Y A R I Day It Is Neither New Moon Nor



Solved 45 Points For The Simple Regression With A Constant 1 A Show That Ols Estimators Of 0 1 Are Unbiased B Derive The Variance Of 1 Course Hero



Frederick County Spelling Bee Frederick County Public Libraries



Motifs De Broderie Copte Ijme Partie Motifs De Broderie Copte Par Th De Dillmont Planche N 6 23 1 Tj Iio 00 90 80 Top Vefy Fv Mj Ma Ummm Eif Es F T



Solved Ifa V O G U R T And U A B C D E F G H I Chegg Com



Junior 3 Integrated Activities Worksheet



Nyp Daily Puzzles Newyork Presbyterian



A P R O X I M A T N L G H S F E U C D I S C R E T A P L D M A H M 1 Ppt Download



Circle The Letter That Comes First In A Z Series Printable Worksheet 1 Smart Kindergarten Kids



Chord Pussy Willow Jethro Tull Tab Song Lyric Sheet Guitar Ukulele Chords Vip



2



Reduction In Glycated Hemoglobin And Daily Insulin Dose Alongside Circadian Clock Upregulation In Patients With Type 2 Diabetes Consuming A Three Meal Diet A Randomized Clinical Trial Diabetes Care



2



Amazon Com Pandahall Elite 36pcs 1 5mm 1 16 Inch Iron Number Alphabet Punch Sets Uppercase Alphabet A To Z Number 0 To 8 And Symbol Metal Stamp Punch Tool Kit For Diy Jewelry Making



B E A U T I F U L Subah C O L O U R F U L Dopeher J O Y F U L Shaam P E A C E F U L Raat Enjoy This F A N T A S T I C Morning Good Morning Messages Total Tashan



Evaluating Expected Improvement In Mathematica Mathematica Stack Exchange



2



U 08 S L Kbzdf Ljsf Rsx Sf



2



Amazon Com Labwork Complete Clutch Kit Gasket Kits Fit For Yamaha Blaster 0 Yfs 0 19 19 1990 06 Automotive



Solved 6 Let X 1 3 5 And Y S T U V Define Chegg Com



Chord The Way You Make Me Feel Michael Jackson Tab Song Lyric Sheet Guitar Ukulele Chords Vip



The General Solution Of The Equation Dy Dx 1 X Y Is A B C Y C D E E F G H I X J 2 K L



New Savings On Initial Bracelets M Also In C X B Q L W I Y Z H K S D N A F T U O V R E



Get This Deal On Initial Bracelets T Also In M P C R B Q S J K W F E N U V Z H Y X G I



Chord Relentless Raised By Swans Tab Song Lyric Sheet Guitar Ukulele Chords Vip
コメント
コメントを投稿